Views: 153
Ketika dalang memainkan wayang kulit di balik kelir, selalu ada irama yang mengalun mengiringinya — gamelan.
Suara gong, saron, bonang, kendang, dan gender berpadu menciptakan harmoni yang menenangkan, membangun suasana sakral, sekaligus menjadi identitas budaya Nusantara. Namun, di balik keindahan musik gamelan, tersembunyi hukum-hukum Fisika tentang getaran, frekuensi, dan resonansi yang bekerja secara menakjubkan.
Gelombang Suara: Bahasa Alam yang Universal
Secara ilmiah, suara adalah gelombang mekanik longitudinal yang merambat melalui medium — udara, air, atau padatan. Ketika bilah gamelan dipukul, logam bergetar, menyebabkan molekul udara di sekitarnya berosilasi. Getaran ini menghasilkan daerah rapatan dan renggangan, yang bergerak dari sumber ke telinga pendengar dalam bentuk gelombang bunyi. Telinga manusia kemudian mengubah getaran itu menjadi sinyal listrik yang diterjemahkan otak sebagai nada.
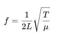
Setiap alat gamelan menghasilkan frekuensi getaran berbeda, tergantung pada panjang, massa, dan tegangan bilah logamnya. Semakin pendek dan tebal bilah, semakin tinggi frekuensinya. Hubungan ini dapat dijelaskan oleh rumus sederhana:

yang menunjukkan bahwa frekuensi (f) berbanding terbalik dengan panjang (L) dan berbanding lurus dengan akar dari rasio tegangan (T) terhadap massa per satuan panjang (μ).
Nada dan Resonansi: Mengapa Gamelan Berbeda dari Piano
Gamelan memiliki karakter bunyi yang khas — lembut, bergema panjang, dan tidak sepenuhnya mengikuti sistem nada Barat. Hal ini karena gamelan menggunakan tangga nada pelog dan slendro, bukan tangga nada diatonis. Secara ilmiah, perbedaan ini membuat rasio frekuensi antar-nada dalam gamelan tidak simetris secara matematis, namun justru menghasilkan resonansi alami yang harmonis di telinga pendengar.
Resonansi terjadi ketika suatu benda bergetar pada frekuensi alami akibat rangsangan dari benda lain yang bergetar pada frekuensi serupa. Dalam gamelan, resonansi memperkuat suara nada-nada tertentu, menciptakan bunyi bergema yang dalam, seolah menyatu dengan ruang pertunjukan. Fenomena ini serupa dengan prinsip resonansi dalam Fisika yang diterapkan pada desain instrumen musik, jembatan, hingga gedung pencakar langit.
Interferensi dan Harmoni
Ketika dua nada gamelan dimainkan bersamaan, gelombang bunyi dari masing-masing sumber saling bertemu.
Kadang mereka saling memperkuat (interferensi konstruktif), dan kadang saling melemahkan (interferensi destruktif). Hasilnya adalah pola gelombang berdiri yang menciptakan kombinasi bunyi unik dan menimbulkan kesan harmoni yang khas. Inilah sebabnya suara gamelan terasa “menyatu” meskipun terdiri dari banyak instrumen — karena semua nada berinteraksi dalam ruang yang sama, membentuk superposisi gelombang bunyi yang seimbang.
Keseimbangan Alam dalam Musik Tradisional
Dalam pandangan budaya Jawa, musik gamelan bukan sekadar hiburan, melainkan refleksi keteraturan kosmos. Setiap nada memiliki makna spiritual: gong melambangkan bumi, kenong mewakili arah mata angin, dan saron menggambarkan perjalanan hidup manusia. Menariknya, filosofi ini sejalan dengan konsep kesetimbangan energi dalam Fisika — tidak ada getaran yang benar-benar hilang, hanya berpindah dari satu bentuk ke bentuk lain.
Dalam harmoni gamelan, kita menemukan simbol keseimbangan antara kekuatan dan kelembutan, antara energi dan keheningan. Getaran gamelan adalah perwujudan dari harmoni alam itu sendiri — tempat setiap suara memiliki ruang dan peran.
Gamelan Sebagai Media Pembelajaran Sains
Keunikan gamelan dapat dimanfaatkan sebagai media pembelajaran kontekstual untuk topik-topik Fisika, seperti:
- Getaran dan frekuensi alami benda padat
- Resonansi dan interferensi bunyi
- Perambatan gelombang dalam medium udara
Dengan mengaitkan konsep-konsep Fisika pada gamelan, mahasiswa dapat memahami bahwa ilmu pengetahuan tidak terpisah dari budaya, melainkan saling memperkaya. Sains menjelaskan bagaimana gamelan menghasilkan bunyi, sementara budaya mengajarkan mengapa harmoni itu bermakna bagi kehidupan.
Harmoni Sains dan Budaya
Gamelan adalah jembatan antara ilmu dan nilai, antara teknologi dan tradisi. Gamelan membuktikan bahwa pengetahuan dapat lahir dari kearifan lokal — dari getaran bilah logam, kita belajar tentang gelombang; dari harmoni nada, kita belajar tentang keseimbangan alam semesta. Dan seperti bunyi gong yang bergaung panjang, warisan sains dalam budaya Nusantara akan terus bergema di hati generasi penerus.
-Mukhayyarotin Niswati Rodliyatul Jauhariyah-
Sumber foto cover: Dokumentasi Pagelaran Wayang Kulit “Abimanyu Pinayungan” di Kelurahan Lidah Wetan pada 5 November 2025 (Humas Unesa)
